基因美电话027-88411411
Three-Step ELISA kit
三步法ELISA试剂盒
人Ⅱ型前胶原(PCII)ELISA Kit
Human Procollagen II (PCII) ELISA Kit

货号:JP0698Hu-T

  • 规格价格
  • 96T1500
  • 48T1000
货期:1-2个工作日
一键复制产品信息
联系我们
  • 产品名称:人Ⅱ型前胶原(PCII)ELISA Kit
  • 别名:Procollagen Ii;PCII;PCOL-II;PC-II;PC2;Type II Procollagen
  • 反应性:人
  • 样本类型:血清/血浆/细胞培养上清及其它液体样本
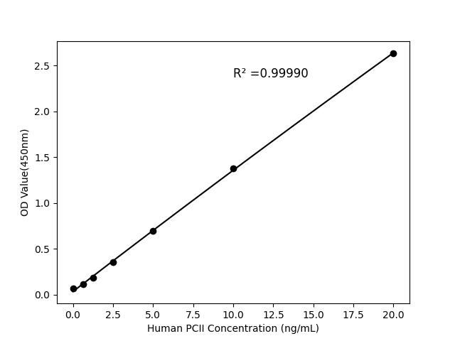
  • 检测范围:0.625-20ng/mL
  • 灵敏度:0.08ng/mL
  • 反应时间:2.5h
  • 上样量:50ul
  • 检测波长:450nm
  • 检测方法:Sandwich ELISA
  • 精密度:批内差<9%,批间差<15%
  • 存储条件:2-8℃

1、ELISA试剂盒的规格有哪几种?试剂盒里面的酶标板可以拆分吗?

基因美ELISA试剂盒有96T和48T两种规格,试剂盒里边的酶标板是可以拆分的。

2、ELISA未包被试剂盒能不能出售单组分?

不能出售单组分,推荐客户购买整套试剂盒。

3、不同种属同一个指标试剂盒可以通用吗?

不同种属的试剂盒,虽然指标名一样,但是该指标在不同种属的范围以及蛋白结构不一定相同,不推荐混用。

4、哪些样本可以做ELISA实验?

血清、血浆、细胞上清液、脑脊液、尿液、唾液、组织匀浆液等与体液相关样本均可做ELISA实验。

5、溶血样本可以做ELISA吗?

样本溶血轻微(浅红色)还是可以尝试检测的,但是严重溶血的样本,实验结果存在一定不准确性。

6、哪几种试剂是不能用于处理ELISA样本?

常见的是ripa裂解液,ripa裂解液中的化学成分会影响HRP活性;另外样本中不能含有叠氮钠,叠氮钠也会影响HRP活性。

7、肝素是否可以作为ELISA抗凝剂?

推荐使用EDTA作为抗凝剂,尽量避免肝素作为抗凝剂(过量肝素可能造成检测结果偏高,若使用肝素抗凝剂,请确保肝素浓度低于10 IU /mL