027-88411411
CN /
EN
首页
ELISA试剂盒
一步法ELISA试剂盒
三步法ELISA试剂盒
竞争法ELISA试剂盒
抗体
单克隆抗体
二抗
标签和内参抗体
技术服务
文献引用
抗体定制服务
ELISA试剂盒定制服务
ELISA和生化检测服务
实验指南
关于我们
公司简介
公司新闻
行业动态
质量保障
联系我们
One-Step ELISA kit
ELISA试剂盒
一步法ELISA试剂盒
三步法ELISA试剂盒
竞争法ELISA试剂盒
抗体
单克隆抗体
二抗
标签和内参抗体
其他试剂
联系我们
电话咨询:
027-88411411
18986183467
联系邮箱:
jiyinmei027@163.com
当前位置:
首页
>
ELISA试剂盒
>
一步法ELISA试剂盒
> 山羊硬脂酰辅酶A去饱和酶(SCD)ELISA Kit
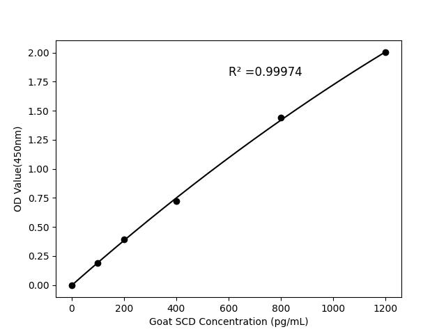
山羊硬脂酰辅酶A去饱和酶(SCD)ELISA Kit
Goat Stearoyl Coenzyme A Desaturase (SCD) ELISA Kit
货号:
JYM0085Go
规格
价格
96T
980
48T
680
货期:现货
一键复制产品信息
复制成功!
联系我们
产品信息
说明书
COA
文献
FAQ
相关产品
产品名称:山羊硬脂酰辅酶A去饱和酶(SCD)ELISA Kit
别名:Stearoyl Coenzyme A Desaturase ,SCD,硬脂酰辅酶A去饱和酶
反应性:山羊
样本类型:血清/血浆/细胞培养上清及其它液体样本
检测范围:20pg/ml -1500pg/ml
灵敏度:7.82pg/ml
反应时间:1h
上样量:10ul
检测波长:450nm
检测方法:Sandwich ELISA
精密度:批内差<9%,批间差<15%
存储条件:2-8℃
山羊硬脂酰辅酶A去饱和酶(SCD)ELISA Kit说明书
山羊硬脂酰辅酶A去饱和酶(SCD)ELISA Kit质检报告
暂无相关文献数据
小鼠超氧化物歧化酶(SOD)ELISA Kit
鸭促卵泡激素(FSH)ELISA Kit
人Ⅲ型前胶原氨基端原肽(PIIINP)ELISA Kit
鸡白介素12(IL-12)ELISA Kit
人血清淀粉样蛋白A4(SAA4)ELISA Kit
小鼠粘蛋白1(MUC1)ELISA Kit
主营产品:
ELISA试剂盒
抗体
技术服务
电话:027-88411411 18986183467(微信同号)
公司邮箱:jiyinmei027@163.com
公司地址:湖北省武汉市江夏区光谷生物医药加速器-25栋4层
百度爱采购
版权所有 © 2003-2022 武汉基因美生物科技有限公司
鄂ICP备10204366号-3
销售支持
+86 18986183467
微信客服
QQ客服
公司Email
jiyinmei027@163.com